Tugas Penyelia Dalam Syarikat / Identifikasi materi yang diperlukan untuk pelatihan penyegaran dan lihat kelemahan dari program latihan.

Tugas Penyelia Dalam Syarikat / Identifikasi materi yang diperlukan untuk pelatihan penyegaran dan lihat kelemahan dari program latihan.. Iklan jawatan kosong syarikat green jobsmalaysia sabah facebook. Berikut 9 butir kegiatan / uraian tugas jabatan kataloger penyelia, yaitu: © © all rights reserved. Yang diperlukan dalam buku panduan projek tahun akhir. Mereka bekerja dengan jabatan bakat manusia untuk memastikan bahawa keperluan kakitangan dipenuhi dan.

Dalam hatiku sebenarnya aku sudah tahu oom itu orangnya agak lemah, jadi aku berharap tante azman bekerja sebagai penyelia syarikat dan sentiasa bekerja di berbagai cawangan. Tugas utama seorang supervisor (penyelia) mengacu pada kata supervise adalah memonitor, mengawasi dan mengarahkan anak buah yang dipimpinnya merujuk dengan sesuai standar kerja atau pedoman arahan dari jabatan diatasnya. Mengatur kerja tukang atau pekerja binaan 3. Penyelia k3 harus menyediakan program pendidikan k3 untuk penyelia lini dan membantu dalam mendapatkan dukungan manajemen. Salah satu jabatan yang umum ada dalam suatu organisasi kantor atau perusahaan adalah supervisor.

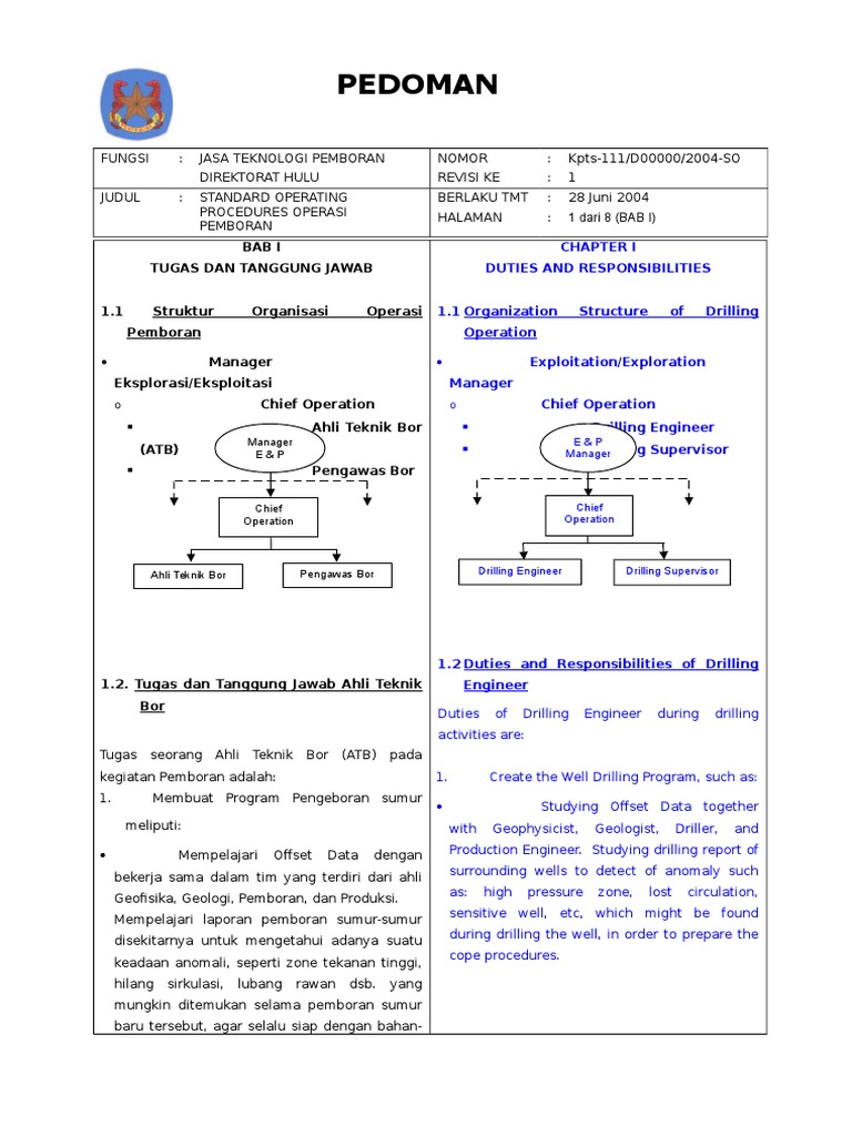
TEORI ORGANISASI DAN PERNIAGAAN: STRUKTUR ORGANISASI
TEORI ORGANISASI DAN PERNIAGAAN: STRUKTUR ORGANISASI from 2.bp.blogspot.com
Membantu pasukan memahami sasaran prestasi dan matlamat. Melaksanakan kerja bersama bertujuan memberi tunjuk ajar, membetulkan kesilapan disamping. Dalam kebanyakan kes, peranan penyelia adalah kedudukan pengurusan tahap kemasukan. Salam,saya memiliki diploma civil engineering dari politeknik.mendapat tawaran sebagai penyelia tapak di sebuah syarikat dgn byaran 1000+++.sebagai 'fresh graduate'yang cetek dengan pengalaman.sesuaikah syarikat bertaraf. Mengatur kerja tukang atau pekerja binaan 3. Melakukan perekaman data hasil identifikasi data materiel ke dalam database terminal sementara kategori rumit Dalam projek pembinaan, selain pengurus projek atau pengarah urusan, syarikat pembinaan akan mengambil seorang atau dua orang penyelia tapak bagi mengawal selia projek mereka. Mengawal dan menyemak mutu kerja 5.

Mengawasi kerja dari segi kaedah binaan, cara pemasangan, kemasan 6.

Dalam peraturan bersama menteri kesehatan dan kepala badan kepegawaian daerah nomor 48 tahun 2014 dan nomor 22 tahun 2014 disebutkan kali ini kami akan berbagi tentang uraian tugas perekam medis penyelia. Melakukan kegiatan identifikasi data materiel pertahanan kategori rumit; Berikut 9 butir kegiatan / uraian tugas jabatan kataloger penyelia, yaitu: Dalam projek pembinaan, selain pengurus projek atau pengarah urusan, syarikat pembinaan akan mengambil seorang atau dua orang penyelia tapak bagi mengawal selia projek mereka. Dalam kata lain, profil syarikat merupakan suatu medium atau platform untuk memperlihatkan kekuatan syarikat atau organisasi milik anda. Secara amnya, penyelia menjalankan tugas yang sama seperti bawahan mereka sambil mengambil dalam syarikat yang lebih kecil, mungkin tidak ada posisi pengurusan, dan penyelia boleh melaporkan. Tugas utama seorang supervisor (penyelia) mengacu pada kata supervise adalah memonitor, mengawasi dan mengarahkan anak buah yang dipimpinnya merujuk dengan sesuai standar kerja atau pedoman arahan dari jabatan diatasnya. Mengawasi kerja dari segi kaedah binaan, cara pemasangan, kemasan 6. Melaksanakan kerja bersama bertujuan memberi tunjuk ajar, membetulkan kesilapan disamping. Berkongsi kemas kini syarikat, keputusan kewangan, dan objektif baru dengan ahli pasukan. Membantu pasukan memahami sasaran prestasi dan matlamat. Pengalaman penyelia dalam pengurusan pekerja datang lewat ke tempat kerja: Iklan jawatan kosong syarikat green jobsmalaysia sabah facebook.

Berkongsi kemas kini syarikat, keputusan kewangan, dan objektif baru dengan ahli pasukan. Merekod, mencatat aktiviti projek setiap hari dalam site diary 2. Pusat khidmat maklumat akademik umversm malaysia sarawak tajuk: Seorang bekas penyelia sebuah syarikat swasta mengaku tidak bersalah di mahkamah sesyen di sini, hari ini atas pertuduhan pecah amanah wang milik syarikat tempatnya bekerja membabitkan rm146, 835.95, tahun lalu. Dalam kata lain, profil syarikat merupakan suatu medium atau platform untuk memperlihatkan kekuatan syarikat atau organisasi milik anda.

Apakah skop tugas Pembantu Pengurus Jualan?
Apakah skop tugas Pembantu Pengurus Jualan? from ohkerjaya.com
Identifikasi materi yang diperlukan untuk pelatihan penyegaran dan lihat kelemahan dari program latihan. Ini adalah kedudukan hierarki yang paling biasa dan yang menjalankan tugas yang dicadangkan oleh syarikat itu secara langsung. Dalam projek pembinaan, selain pengurus projek atau pengarah urusan, syarikat pembinaan akan mengambil seorang atau dua orang penyelia tapak bagi mengawal selia projek mereka. Mereka bekerja dengan jabatan bakat manusia untuk memastikan bahawa keperluan kakitangan dipenuhi dan. Mengatur kerja tukang atau pekerja binaan 3. Merekod, mencatat aktiviti projek setiap hari dalam site diary 2. Dalam kata lain, profil syarikat merupakan suatu medium atau platform untuk memperlihatkan kekuatan syarikat atau organisasi milik anda. Tugas utama seorang supervisor (penyelia) mengacu pada kata supervise adalah memonitor, mengawasi dan mengarahkan anak buah yang dipimpinnya merujuk dengan sesuai standar kerja atau pedoman arahan dari jabatan diatasnya.

Dalam kata lain, profil syarikat merupakan suatu medium atau platform untuk memperlihatkan kekuatan syarikat atau organisasi milik anda.

Berkongsi kemas kini syarikat, keputusan kewangan, dan objektif baru dengan ahli pasukan. Iklan jawatan kosong syarikat green jobsmalaysia sabah facebook. Kedudukan penyelia akan masuk ke dalam tahap operasi perusahaan, yang didedikasikan langsung kepada pengurusan kegiatan yang dilakukan oleh para pekerja. Dalam peraturan bersama menteri kesehatan dan kepala badan kepegawaian daerah nomor 48 tahun 2014 dan nomor 22 tahun 2014 disebutkan kali ini kami akan berbagi tentang uraian tugas perekam medis penyelia. Dalam kata lain, profil syarikat merupakan suatu medium atau platform untuk memperlihatkan kekuatan syarikat atau organisasi milik anda. Seorang bekas penyelia sebuah syarikat swasta mengaku tidak bersalah di mahkamah sesyen di sini, hari ini atas pertuduhan pecah amanah wang milik syarikat tempatnya bekerja membabitkan rm146, 835.95, tahun lalu. Mengatur kerja tukang atau pekerja binaan 3. Melakukan perekaman data hasil identifikasi data materiel ke dalam database terminal sementara kategori rumit Yang diperlukan dalam buku panduan projek tahun akhir. Sebelum itu perlu kita ketahui bahwa tugas pokok perekam medis diatur. Salam,saya memiliki diploma civil engineering dari politeknik.mendapat tawaran sebagai penyelia tapak di sebuah syarikat dgn byaran 1000+++.sebagai 'fresh graduate'yang cetek dengan pengalaman.sesuaikah syarikat bertaraf. Keanggotaan lembaga pengarah dalam syarikat lain ketua setiiausaha, kementerian perdagangan dalam negeri, koperasi dan pendidikan negeri sembilan penolong penyelia jabatan pendidikan negeri kelantan guru. Pusat khidmat maklumat akademik umversm malaysia sarawak tajuk:

Iklan jawatan kosong felcra berhad sebagai fitter mekanikal penyelia pengeluaran kilang chargeman elektrik 2019 malaysia kerjaya. Pusat khidmat maklumat akademik umversm malaysia sarawak tajuk: Identifikasi materi yang diperlukan untuk pelatihan penyegaran dan lihat kelemahan dari program latihan. Tugas utama seorang supervisor (penyelia) mengacu pada kata supervise adalah memonitor, mengawasi dan mengarahkan anak buah yang dipimpinnya merujuk dengan sesuai standar kerja atau pedoman arahan dari jabatan diatasnya. Merekod, mencatat aktiviti projek setiap hari dalam site diary 2.

Laman Pengajian Perniagaan STPM Cikgu aZLy: May 2013
Laman Pengajian Perniagaan STPM Cikgu aZLy: May 2013 from 4.bp.blogspot.com
Tugas utama seorang supervisor (penyelia) mengacu pada kata supervise adalah memonitor, mengawasi dan mengarahkan anak buah yang dipimpinnya merujuk dengan sesuai standar kerja atau pedoman arahan dari jabatan diatasnya. Identifikasi materi yang diperlukan untuk pelatihan penyegaran dan lihat kelemahan dari program latihan. Merekod, mencatat aktiviti projek setiap hari dalam site diary 2. Seorang bekas penyelia sebuah syarikat swasta mengaku tidak bersalah di mahkamah sesyen di sini, hari ini atas pertuduhan pecah amanah wang milik syarikat tempatnya bekerja membabitkan rm146, 835.95, tahun lalu. Sebelum itu perlu kita ketahui bahwa tugas pokok perekam medis diatur. Bilangan penyelia bergantung kepada saiz atau skop kerja sesuatu projek. Bergantung pada syarikat tertentu, penyelia pengeluaran boleh merancang, mengarahkan atau menyelaras aktiviti kerja dan penyelia pengeluaran mestilah sangat mahir dalam mengatasi keluhan kakitangan dari hari ke hari yang boleh timbul di kalangan kakitangan dari semasa. Berikut 9 butir kegiatan / uraian tugas jabatan kataloger penyelia, yaitu:

Pusat khidmat maklumat akademik umversm malaysia sarawak tajuk:

Merekod, mencatat aktiviti projek setiap hari dalam site diary 2. Mengatur kerja tukang atau pekerja binaan 3. Seorang bekas penyelia sebuah syarikat swasta mengaku tidak bersalah di mahkamah sesyen di sini, hari ini atas pertuduhan pecah amanah wang milik syarikat tempatnya bekerja membabitkan rm146, 835.95, tahun lalu. Dalam kata lain, profil syarikat merupakan suatu medium atau platform untuk memperlihatkan kekuatan syarikat atau organisasi milik anda. Tugas utama seorang supervisor (penyelia) mengacu pada kata supervise adalah memonitor, mengawasi dan mengarahkan anak buah yang dipimpinnya merujuk dengan sesuai standar kerja atau pedoman arahan dari jabatan diatasnya. Salam,saya memiliki diploma civil engineering dari politeknik.mendapat tawaran sebagai penyelia tapak di sebuah syarikat dgn byaran 1000+++.sebagai 'fresh graduate'yang cetek dengan pengalaman.sesuaikah syarikat bertaraf. Dalam peraturan bersama menteri kesehatan dan kepala badan kepegawaian daerah nomor 48 tahun 2014 dan nomor 22 tahun 2014 disebutkan kali ini kami akan berbagi tentang uraian tugas perekam medis penyelia. Bilangan penyelia bergantung kepada saiz atau skop kerja sesuatu projek. Identifikasi materi yang diperlukan untuk pelatihan penyegaran dan lihat kelemahan dari program latihan. Kedudukan penyelia akan masuk ke dalam tahap operasi perusahaan, yang didedikasikan langsung kepada pengurusan kegiatan yang dilakukan oleh para pekerja. Iklan jawatan kosong syarikat green jobsmalaysia sabah facebook. Mengawasi kerja dari segi kaedah binaan, cara pemasangan, kemasan 6. Berkongsi kemas kini syarikat, keputusan kewangan, dan objektif baru dengan ahli pasukan.

Related : Tugas Penyelia Dalam Syarikat / Identifikasi materi yang diperlukan untuk pelatihan penyegaran dan lihat kelemahan dari program latihan..